常見電纜的載流量一覽表
0.6/1KV聚氯乙烯絕緣電力電纜載流量


以上電纜載流量計算條件:
1. 線芯長期工作溫度:70℃;
2. 環境溫度:25℃ ;
3. 埋地深度:1000mm;
4. 土壤熱阻系數:1.0m.℃/W;
5. 線芯軸間距離:S=2D
1~3芯額定電壓0.6/1kv-1.8/3kv電纜載流量表
表中計算值為銅芯載流量。鋁芯載流量為銅芯的1/1.29倍
常見鋁芯電纜0.6/1kv-1.8/3kv電纜載流量表
YJV、YJY、YJV22額定電壓在6/6、6/10kv電纜載流量
YJV、YJV22電壓在8.7/10、8.7/15kv電纜載流量表
常見BVVB型、BLVVB型、RVVB型電線載流量
常見BV線載流量
通用橡套軟電纜的載流量(450V/750V及以下橡膠絕緣電力電纜YQ、YQW、YHQ、YC、YCW、YHC型號的載流量 
阻燃電線電纜載流量表 常見BV、BVVB、BVR、RVV、RVS系列阻燃電線電纜的載流量: 

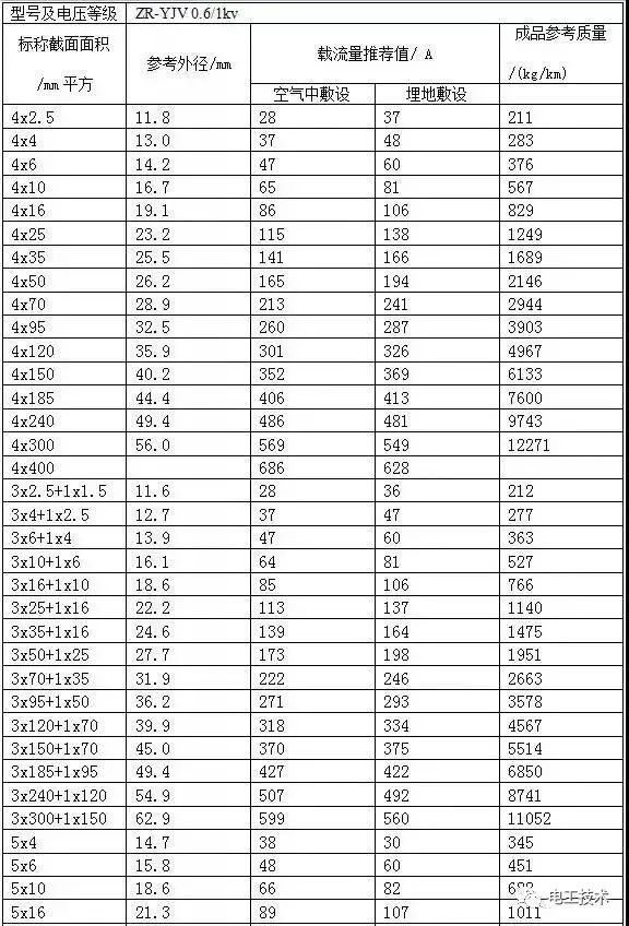
常見ZR-YJV電力電纜載流量表
高壓交聯聚氯乙烯絕緣阻燃電力電纜的載流量表
礦物質絕緣電纜載流量表,BTTZ銅芯銅護套氧化鎂礦物質絕緣電纜載流量表
免責聲明:本文來源于網絡版權歸作者所有。如涉及作品版權問題,請與我們聯系,我們將根據您提供的版權證明材料確認版權并于接到證明的一周內予以刪除!